基本信息:
中文名称 3,4’-二氨基苯酰替苯胺
中文别名 3,4''-二氨基苯酰替苯胺;
英文名称 3-amino-N-(4-aminophenyl)benzamide
英文别名 3-Amino-benzoesaeure-(4-amino-anilid);3-amino-benzoic acid-(4-amino-anilide);BB_SC-6770;3,4''-Diaminobenzanilid;N-(3-Amino-benzoyl)-p-phenylendiamin;3,4''-Diamino Benzanilide;
CAS号 2657-93-4
合成路线:
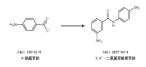
1.通过4-硝基苯胺合成3,4’-二氨基苯酰替苯胺

中华试剂网提醒 合成路线仅供参考