基本信息:
中文名称 2,3-二羟基-6,7-二氯喹喔啉
中文别名 6,7-二氯-1,4-二氢-2,3-喹喔啉二酮;2,3-二氯-4-三氟甲基甲苯;6,7-二氯喹喔啉-2,3(1H,4H)-二酮;
英文名称 6,7-dichloro-1,4-dihydroquinoxaline-2,3-dione
英文别名 6,7-dichloro-1,4-dihydro-2,3-quinoxalinedione;6,7-Dichlor-2,3-(1H,4H)-chinoxalindion;6,7-Dichloroquinoxaline-2,3-dione;6,7-dichloroquinoxaline-2,3-diol;2,3-DICHLORO-4-TRIFLUOROMETHYLTOLUENE;DCQX;6,7-dichloro-quinoxaline-2,3(1H,4H)-dione;6,7-dichloro-1,4-dihydroquinoxaline-2,3-dion;Lopac-D-133;
CAS号 25983-13-5
合成路线:
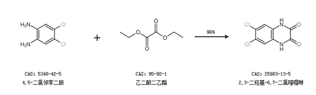
1.通过4,5-二氯邻苯二胺和乙二酸二乙酯合成2,3-二羟基-6,7-二氯喹喔啉,收率约96%;

2.通过4,5-二氯-2-硝基苯胺合成2,3-二羟基-6,7-二氯喹喔啉

中华试剂网提醒 合成路线仅供参考