基本信息:
中文名称 D-谷氨酸叔丁酯
英文名称 (4R)-4-amino-5-[(2-methylpropan-2-yl)oxy]-5-oxopentanoic acid
英文别名 H-D-Glu-OtBu;4-tert-butoxycarbonyl aminobutyric acid;(R)-4-Amino-5-(tert-butoxy)-5-oxopentanoic acid;h-d-glu-otbu;4-t-butoxycarbonyl aminobutyric acid;glutamic acid-di-t-butyl ester;
CAS号 25456-76-2
合成路线:
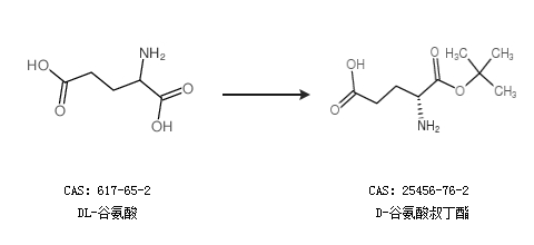
1.通过DL-谷氨酸合成D-谷氨酸叔丁酯

中华试剂网提醒 合成路线仅供参考