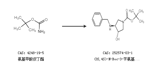
基本信息:
中文名称 (3S,4S)-N-Boc-3-苄氨基-4-羟基吡咯烷
中文别名 (3S,4S)-3-苄氨基-4-羟基吡咯烷-1-甲酸叔丁酯;
英文名称 tert-butyl (3S,4S)-3-(benzylamino)-4-hydroxypyrrolidine-1-carboxylate
英文别名 rac-trans-3-benzylamino-4-hydroxy-pyrrolidine-1-carboxylic acid tert-butyl ester;
CAS号 252574-03-1
合成路线:
1.通过氨基甲酸叔丁酯合成(3S,4S)-N-Boc-3-苄氨基-4-羟基吡咯烷

2.通过N-Boc-3-吡咯啉合成(3S,4S)-N-Boc-3-苄氨基-4-羟基吡咯烷

中华试剂网提醒 合成路线仅供参考