基本信息:
中文名称 甲磺酰乙酸
中文别名 2-甲磺酰基乙酸;甲砜基乙酸;
英文名称 2-methylsulfonylacetic acid
英文别名 2-methansulfonylacetic acid;2-Methanesulfonylacetic acid;methylsulfonylthioacetic acid;methanesulphonyl acetic acid;Methanesulfonylacetic Acid;2-(Methylsulfonyl)acetic acid;Methylsulfonylacetic acid;METHANESULFONYLACETIC ACID;
CAS号 2516-97-4
合成路线:
1.通过(甲硫基)乙酸合成甲磺酰乙酸,收率约82%;

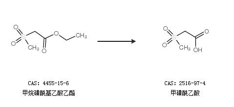
2.通过甲烷磺酰基乙酸乙酯合成甲磺酰乙酸

中华试剂网提醒 合成路线仅供参考