基本信息:
中文名称 (R)-(-)-哌啶-3-甲酸
中文别名 (R)-(-)-哌啶羧酸;(R)-3-哌啶甲酸;(R)-(-)-哌啶甲酸;(R)-(–)-甲酸哌啶;(R)-(-)-3-哌啶甲酸;
英文名称 (R)-(-)-Nipecotic acid
英文别名 (R)-(–)-3-Piperidinecarboxylic acid;(R)-Piperidine-3-carboxylic acid;(R)-(-)-Nipecotic Acid;(R)-(-)-3-Piperidinecarboxylic Acid;D-Piperidine-3-carboxylic acid;
CAS号 25137-00-2
合成路线:
1.通过1,2,5,6-四氢吡啶-3-羧酸盐酸盐合成(R)-(-)-哌啶-3-甲酸

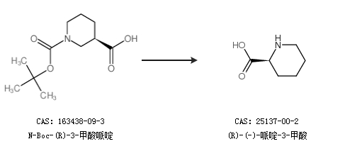
2.通过N-Boc-(R)-3-甲酸哌啶合成(R)-(-)-哌啶-3-甲酸

中华试剂网提醒 合成路线仅供参考