你好,欢迎来到中华试剂网 购试剂 买耗材! [请登录][注册有惊喜]

货号快速下单 | 签到送积分   | 会员中心 | 客服热线:400-021-2765

4-(2-(二乙基氨基)乙氧基)苯酚的合成路线

提问时间:2021/4/26 8:22:04
4-(2-(二乙基氨基)乙氧基)苯酚是什么,有什么方法可以合成?

1条回复:

匿名
2021/4/26 8:22:04
基本信息:
中文名称 4-(2-(二乙基氨基)乙氧基)苯酚
英文名称 4-[2-(Diethylamino)ethoxy]phenol
CAS号 23877-67-0

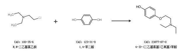
合成路线:
1.通过4-(2-溴乙氧基)苯酚和二乙胺合成4-(2-(二乙基氨基)乙氧基)苯酚


2.通过N,N-二乙基氯乙胺和1,4-苯二酚合成4-(2-(二乙基氨基)乙氧基)苯酚


中华试剂网提醒 合成路线仅供参考
回复