你好,欢迎来到中华试剂网 购试剂 买耗材! [请登录][注册有惊喜]

货号快速下单 | 签到送积分   | 会员中心 | 客服热线:400-021-2765

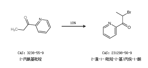
2-溴-1-(吡啶-2-基)丙烷-1-酮的合成路线

提问时间:2021/4/26 8:22:04
2-溴-1-(吡啶-2-基)丙烷-1-酮是什么,有什么方法可以合成?

1条回复:

匿名
2021/4/26 8:22:04
基本信息:
中文名称 2-溴-1-(吡啶-2-基)丙烷-1-酮
英文名称 2-bromo-1-pyridin-2-ylpropan-1-one
英文别名 2-bromo-1-pyridin-2-yl-propan-1-one;
CAS号 231298-56-9

合成路线:
1.通过2-丙酰基吡啶合成2-溴-1-(吡啶-2-基)丙烷-1-酮,收率约10%;


2.通过2-氰基吡啶合成2-溴-1-(吡啶-2-基)丙烷-1-酮


中华试剂网提醒 合成路线仅供参考
回复