基本信息:
中文名称 6-硝基糖精
中文别名 6-硝基-1,2-苯并异噻唑啉-3-酮 1,1-二氧化物;6-硝基-1,2-苯并异噻唑啉-3-酮1,1-二氧化物;
英文名称 6-nitro-1,1-dioxo-1,2-benzothiazol-3-one
英文别名 6-Nitrobenzo[d]isothiazol-3(2H)-one 1,1-dioxide;6-Nitro-1,2-benzisothiazolin-3-one 1,1-dioxide;6-Nitro-1,2-benzisothiazol-3-one-1,1-dioxide;1,2-Benzisothiazolin-3-one,6-nitro-,1,1-dioxide;6-Nitrosaccharin;6-nitro-1,2-benzothiazol-3-one 1,1-dioxide;
CAS号 22952-24-5
合成路线:
1.通过2-甲基-5-硝基苯磺酰胺合成6-硝基糖精,收率约73%;

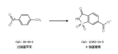
2.通过对硝基甲苯合成6-硝基糖精

中华试剂网提醒 合成路线仅供参考