你好,欢迎来到中华试剂网 购试剂 买耗材! [请登录][注册有惊喜]

货号快速下单 | 签到送积分   | 会员中心 | 客服热线:400-021-2765

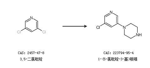
1-(5-氯吡啶-3-基)哌嗪的合成路线

提问时间:2021/4/26 8:22:04
1-(5-氯吡啶-3-基)哌嗪是什么,有什么方法可以合成?

1条回复:

匿名
2021/4/26 8:22:04
基本信息:
中文名称 1-(5-氯吡啶-3-基)哌嗪
英文名称 1-(5-chloropyridin-3-yl)piperazine
CAS号 223794-95-4

合成路线:
1.通过3,5-二氯吡啶合成1-(5-氯吡啶-3-基)哌嗪


中华试剂网提醒 合成路线仅供参考
回复