你好,欢迎来到中华试剂网 购试剂 买耗材! [请登录][注册有惊喜]

货号快速下单 | 签到送积分   | 会员中心 | 客服热线:400-021-2765

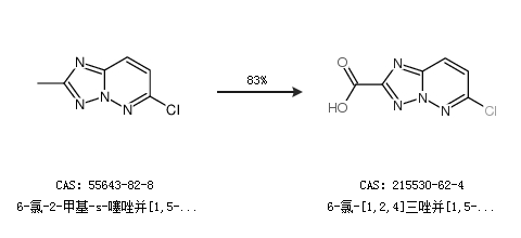
6-氯-[1,2,4]三唑并[1,5-b]哒嗪-2-羧酸的合成路线

提问时间:2021/4/26 8:22:03
6-氯-[1,2,4]三唑并[1,5-b]哒嗪-2-羧酸是什么,有什么方法可以合成?

1条回复:

匿名
2021/4/26 8:22:03
基本信息:
中文名称 6-氯-[1,2,4]三唑并[1,5-b]哒嗪-2-羧酸
中文别名 6-氯-[1,2,4]噻唑并[1,5-B]吡嗪-2-羧酸;
英文名称 6-CHLORO-[1,2,4]TRIAZOLO[1,5-B]PYRIDAZINE-2-CARBOXYLIC ACID
CAS号 215530-62-4

合成路线:
1.通过6-氯-2-甲基-s-噻唑并[1,5-b]吡嗪合成6-氯-[1,2,4]三唑并[1,5-b]哒嗪-2-羧酸,收率约83%;


中华试剂网提醒 合成路线仅供参考
回复