基本信息:
中文名称 6-氯甲基吗吩烷啶
英文名称 6-(chloromethyl)-11H-benzo[c][1]benzazepine
英文别名 6-Chloromethylmorphanthridin;6-Chloromethylmorphenthridine;6-Chloromethylmorphanthridine;
CAS号 21535-44-4
合成路线:
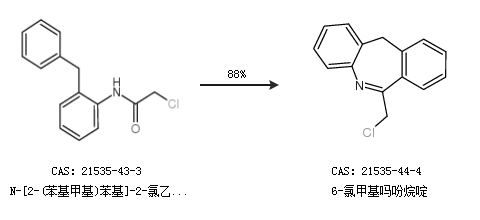
1.通过N-[2-(苯基甲基)苯基]-2-氯乙酰胺合成6-氯甲基吗吩烷啶,收率约88%;

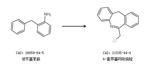
2.通过邻苄基苯胺合成6-氯甲基吗吩烷啶

中华试剂网提醒 合成路线仅供参考