基本信息:
中文名称 4-(4-吗啉基)苄胺
中文别名 4-吗啉基苄胺;
英文名称 (4-morpholin-4-ylphenyl)methanamine
英文别名 4-Morpholinobenzylamine;4-morpholino-benzylamine;1-(4-Morpholin-4-ylphenyl)methanamine;[4-(Morpholin-4-yl)benzyl]amine;
CAS号 214759-74-7
合成路线:
1.通过4-(4-氰苯基)吗啉合成4-(4-吗啉基)苄胺,收率约22%;

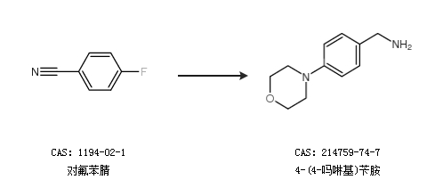
2.通过对氟苯腈合成4-(4-吗啉基)苄胺

中华试剂网提醒 合成路线仅供参考