基本信息:
中文名称 (S)-(+)-5-氧代-2-四氢呋喃羧酸
中文别名 (S)-(+)-5-氧代-2-四氢呋喃甲酸;(S)-(+)-5-氧代四氢呋喃-2-羧酸;(S)-(+)-γ-羧基-γ-丁内酯;(S)-(+)-5-酮基四氢呋喃-2-羧酸;S-(+)-5-氧代四氢呋喃-2-羧酸;
英文名称 (S)-(+)-5-OXOTETRAHYDROFURAN-2-CARBOXYLIC ACID
英文别名 5-OXOTETRAHYDROFURAN-2-CARBOXYLIC ACID;TOF;(S)-(+)-5-OXOTETRAHY;(S)-(+)-5-Oxo-2-tetrahydrofuroic Acid;(S)-5-Oxo-tetrahydrofuran-2-carboxylic acid;(S)-5-OXOTETRAHYDROFURAN-2-CARBOXYLIC ACID;(S)-(+)-5-Oxotetrahydrofuran-2-carboxylic Acid;5S-(+)-Butyrolactone Carboxylic Acid;(S)-(+)-5-OXO-2-TETRAHYDROFUROIC ACID;(S)-(+)-5-Oxo-2-tetrahydrofurancarboxylic acid;(S)-(+)-5-Oxo-2-tetrahydrofurancarboxylic Acid;(S)-5-Oxotetrahydrofuran-2-carboxylic acid;(S)-(+)-γ-Carboxy-γ-butyrolactone;(S)-tetrahydro-5-oxo-2-furancarboxylic acid;
CAS号 21461-84-7
合成路线:
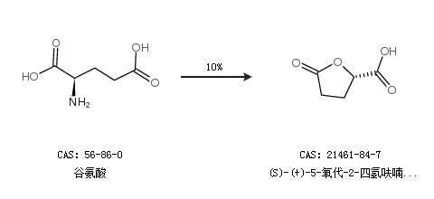
1.通过谷氨酸合成(S)-(+)-5-氧代-2-四氢呋喃羧酸,收率约10%;

2.通过(S)-甲基 5-氧代四氢呋喃-2-羧酸合成(S)-(+)-5-氧代-2-四氢呋喃羧酸,收率约56%;

中华试剂网提醒 合成路线仅供参考