基本信息:
中文名称 4-羟基-睾酮
英文名称 4-Hydroxy Testosterone
英文别名 (8R,9S,10R,13S,14S,17S)-4,17-dihydroxy-10,13-dimethyl-1,2,6,7,8,9,11,12,14,15,16,17-dodecahydrocyclopenta[a]phenanthren-3-one;
CAS号 2141-17-5
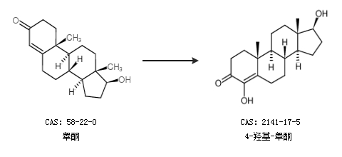
合成路线:
1.通过本胆烷-17β-醇-3-酮合成4-羟基-睾酮,收率约15%;

2.通过睾酮合成4-羟基-睾酮

中华试剂网提醒 合成路线仅供参考