基本信息:
中文名称 2-[(3,4-二氯苯氧基)甲基]环氧乙烷
英文名称 2-[(3,4-DICHLOROPHENOXY)METHYL]OXIRANE
英文别名 (2S)-3-(3,4-dichlorophenoxy)-1,2-epoxypropane;1-(3,4-Dichlorphenoxy)-2,3-epoxypropan;Propane,1-(2,4-dichlorophenoxy);2-(3,4-dichloro-phenoxymethyl)-oxirane;OR0431;(3,4-dichloro-phenoxymethyl)-oxirane;
CAS号 21320-30-9
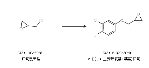
合成路线:
1.通过3.4-二氯苯酚和环氧氯丙烷合成2-[(3,4-二氯苯氧基)甲基]环氧乙烷,收率约92%;

2.通过环氧氯丙烷合成2-[(3,4-二氯苯氧基)甲基]环氧乙烷

中华试剂网提醒 合成路线仅供参考