基本信息:
中文名称 4-(4-溴苯基)-2-巯基噻唑
英文名称 4-(4-bromophenyl)-3H-1,3-thiazole-2-thione
英文别名 4-(p-Bromophenyl)-2-mercaptothiazole;2-Mercapto-4-(p-bromophenyl)thiazole;4-(4''-bromophenyl)-2-mercaptothiazole;4-(4-Bromophenyl)-2-thiazolethiol;4-(4-BROMOPHENYL)-1,3-THIAZOLE-2-THIOL;4-(4-Bromophenyl)-2(3H)-thiazolethione;2-mercapto-4-(4-bromophenyl)thiazole;4-(4-bromo-phenyl)-3H-thiazole-2-thione;2-Thiazolethiol,4-(p-bromophenyl)-(7CI,8CI);
CAS号 2103-95-9
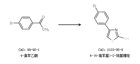
合成路线:
1.通过二硫代氨基甲酸铵和2,4''-二溴苯乙酮合成4-(4-溴苯基)-2-巯基噻唑,收率约99%;

2.通过4-溴苯乙酮合成4-(4-溴苯基)-2-巯基噻唑

中华试剂网提醒 合成路线仅供参考