基本信息:
中文名称 1-正-丁基-4-碘苯
中文别名 1-正丁基-4-碘苯;
英文名称 1-butyl-4-iodobenzene
英文别名 4-n-Butyliodobenzene;P-BUTYLIODOBENZENE;1-n-butyl-4-iodobenzene;4-butyliodobenzene;1-Butyl-4-iodobenzene;1-iodo-4-n-butylbenzene;4-n-Bu-C6H4-I;4-N-AMYLIODOBENZENE;4-n-butyl-1-iodobenzene;
CAS号 20651-67-6
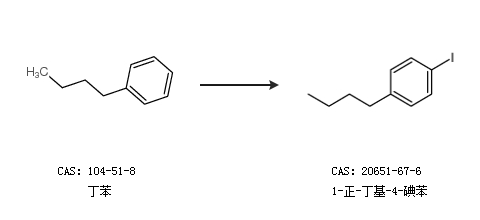
合成路线:
1.通过正丁基锂和1,4-二碘苯合成1-正-丁基-4-碘苯,收率约8%;

2.通过丁苯合成1-正-丁基-4-碘苯

中华试剂网提醒 合成路线仅供参考