基本信息:
中文名称 4-(4-硝基苯基)丁酸甲酯
英文名称 Methyl 4-(4-nitrophenyl)butanoate
英文别名 Benzenebutanoic acid,4-nitro-,methyl ester;4-Nitrobenzenebutanoic Acid Methyl Ester;
CAS号 20637-02-9
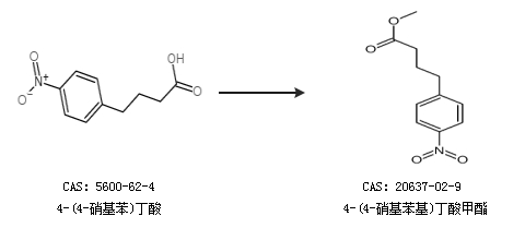
合成路线:
1.通过甲醇和4-(4-硝基苯)丁酸合成4-(4-硝基苯基)丁酸甲酯,收率约99%;

2.通过4-(4-硝基苯)丁酸合成4-(4-硝基苯基)丁酸甲酯

中华试剂网提醒 合成路线仅供参考