你好,欢迎来到中华试剂网 购试剂 买耗材! [请登录][注册有惊喜]

货号快速下单 | 签到送积分   | 会员中心 | 客服热线:400-021-2765

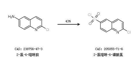
2-氯喹啉-6-磺酰氯的合成路线

提问时间:2021/4/26 8:22:03
2-氯喹啉-6-磺酰氯是什么,有什么方法可以合成?

1条回复:

匿名
2021/4/26 8:22:03
基本信息:
中文名称 2-氯喹啉-6-磺酰氯
英文名称 2-CHLOROQUINOLINE-6-SULFONYL CHLORIDE
英文别名 2-chloro-6-chlorosulfonylquinoline;2-Chloro-6-quinolinesulfonyl Chloride;
CAS号 205055-71-6

合成路线:
1.通过2-氯-6-喹啉胺合成2-氯喹啉-6-磺酰氯,收率约43%;


2.通过6-溴-2-氯喹啉合成2-氯喹啉-6-磺酰氯


中华试剂网提醒 合成路线仅供参考
回复