基本信息:
中文名称 四正丁基铅
英文名称 tetrabutylplumbane
英文别名 Tetrabutyl-plumban;tetrabutyl-lead;PHTHALOCYANINE,FERRIC;Plumbane,tetrabutyl;tetrabutyl plumbane;KDQHJGWPOQNCMI-UHFFFAOYSA;LEAD TETRABUTYL;Tetrabutylblumban;tetraethyl lead;Tetra-n-Butyl lead;
CAS号 1920-90-7
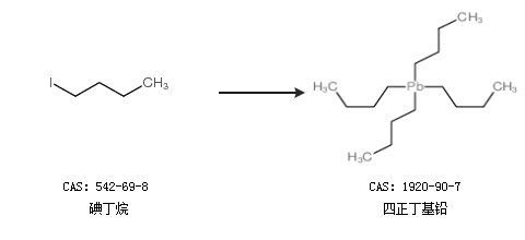
合成路线:
1.通过氯丁基镁合成四正丁基铅

2.通过碘丁烷合成四正丁基铅

中华试剂网提醒 合成路线仅供参考