基本信息:
中文名称 3,4-二羟基噻吩-2,5-二羧酸二乙酯
中文别名 2,5-二羧酸二乙酯-3,4-二羟基噻吩;3,4-二羟基噻吩-2,5-二甲酸二乙酯;
英文名称 diethyl 3,4-dihydroxythiophene-2,5-dicarboxylate
英文别名 3,4-dihydroxy-2,5-thiophenedicarboxylic acid diethyl ester;2,5-bis[ethoxy(hydroxy)methylidene]thiolane-3,4-dione;diethyl 3,4-dihydroxythiphene-2,5-dicarboxylate;2,5-bis(ethoxycarbonyl)-3,4-dihydroxythiophene;ethyl 5-(ethoxycarbonyl)-3,4-dihydroxythiophene-2-carboxylate;2,5-Bis(ethoxycarbonyl)thiophene-3,4-diol;ethyl 3,4-dihydroxy-2,5-thiophene-dicarboxylate;3,4-Dihydroxythiophene-2,5-dicarboxylic acid diethyl ester;ethyl 3,4-dihydroxythiophene-2,5-dicarboxylate;
CAS号 1822-66-8
合成路线:
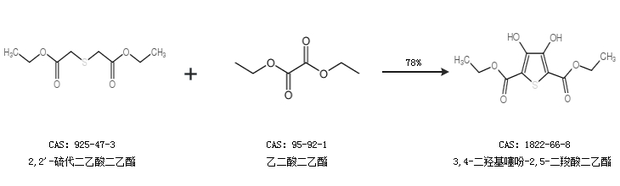
1.通过2,2''-硫代二乙酸二乙酯和乙二酸二乙酯合成3,4-二羟基噻吩-2,5-二羧酸二乙酯,收率约78%;

2.通过3,4-二羟基噻吩-2,5-二羧酸二乙基酯二钠盐合成3,4-二羟基噻吩-2,5-二羧酸二乙酯

中华试剂网提醒 合成路线仅供参考