基本信息:
中文名称 1,4-双(氯甲基二甲基硅氧基)苯
英文名称 chloromethyl-[4-[chloromethyl(dimethyl)silyl]oxyphenoxy]-dimethylsilane
英文别名 1,4-Bis-(chlormethyl-dimethyl-silyloxy)-benzol;1,4-Bis(chloromethyldimethylsilyloxy)benzene;1,4-bis-(chloromethyl-dimethyl-silanyloxy)-benzene;Benzene,1,4-bis[[(chloromethyl)dimethylsilyl]oxy];Silane,(p-phenylenedioxy)bis[(chloromethyl)dimethyl-(6CI,8CI);
CAS号 18057-24-4
合成路线:
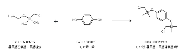
1.通过氯甲基乙氧基二甲基硅烷和1,4-苯二酚合成1,4-双(氯甲基二甲基硅氧基)苯

中华试剂网提醒 合成路线仅供参考