你好,欢迎来到中华试剂网 购试剂 买耗材! [请登录][注册有惊喜]

货号快速下单 | 签到送积分   | 会员中心 | 客服热线:400-021-2765

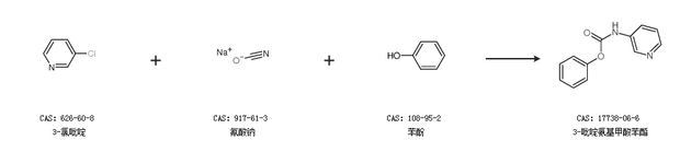
3-吡啶氨基甲酸苯酯的合成路线

提问时间:2021/4/26 8:22:02
3-吡啶氨基甲酸苯酯是什么,有什么方法可以合成?

1条回复:

匿名
2021/4/26 8:22:02
基本信息:
中文名称 3-吡啶氨基甲酸苯酯
英文名称 phenyl N-pyridin-3-ylcarbamate
英文别名 phenyl 3-pyridylcarbamate;pyridin-3-yl-carbamic acid phenyl ester;
CAS号 17738-06-6

合成路线:
1.通过3-氨基吡啶和氯甲酸苯酯合成3-吡啶氨基甲酸苯酯,收率约88%;


2.通过3-氯吡啶、氰酸钠和苯酚合成3-吡啶氨基甲酸苯酯


中华试剂网提醒 合成路线仅供参考
回复