你好,欢迎来到中华试剂网 购试剂 买耗材! [请登录][注册有惊喜]

货号快速下单 | 签到送积分   | 会员中心 | 客服热线:400-021-2765

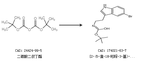
[2-(5-溴-1H-吲哚-3-基)-乙基]-氨基甲酸叔丁酯的合成路线

提问时间:2021/4/26 8:22:02
[2-(5-溴-1H-吲哚-3-基)-乙基]-氨基甲酸叔丁酯是什么,有什么方法可以合成?

1条回复:

匿名
2021/4/26 8:22:02
基本信息:
中文名称 [2-(5-溴-1H-吲哚-3-基)-乙基]-氨基甲酸叔丁酯
英文名称 tert-butyl N-[2-(5-bromo-1H-indol-3-yl)ethyl]carbamate
CAS号 174021-63-7

合成路线:
1.通过二碳酸二叔丁酯合成[2-(5-溴-1H-吲哚-3-基)-乙基]-氨基甲酸叔丁酯,收率约44%;


2.通过二碳酸二叔丁酯合成[2-(5-溴-1H-吲哚-3-基)-乙基]-氨基甲酸叔丁酯


中华试剂网提醒 合成路线仅供参考
回复