基本信息:
中文名称 5-Boc-氨基-2-氯吡啶-4-羧酸
中文别名 5-BOC-氨基-2-氯吡啶-4-甲酸;
英文名称 2-chloro-5-[(2-methylpropan-2-yl)oxycarbonylamino]pyridine-4-carboxylic acid
英文别名 5-((tert-butoxycarbonyl)amino)-2-chloroisonicotinic acid;5-Boc-amino-2-chloropyridine-4-carboxylic acid;5-[(tert-butoxy)carbonylamino]-2-chloropyridine-4-carboxylic acid;5-Amino-2-chloroisonicotinic acid,5-BOC protected;5-[N-(tert-butoxycarbonyl)amino]-2-chloropyridine-4-carboxylic acid;
CAS号 171178-46-4
合成路线:
1.通过二氧化碳和5-(N-叔丁氧羰基氨基)-2-氯吡啶合成5-Boc-氨基-2-氯吡啶-4-羧酸,收率约68%;

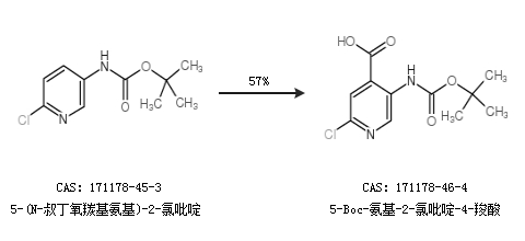
2.通过5-(N-叔丁氧羰基氨基)-2-氯吡啶合成5-Boc-氨基-2-氯吡啶-4-羧酸,收率约57%;

中华试剂网提醒 合成路线仅供参考