基本信息:
中文名称 4-叔丁基环己酮
中文别名 4-叔戊基环己酮;4-(1,1-二甲基丙基)环己酮;
英文名称 4-(2-methylbutan-2-yl)cyclohexan-1-one
英文别名 4-tert-Amylcyclohexanone;EINECS 240-642-0;4-TERT-PENTYLCYCLOHEXANONE;p-t-amyl cyclohexanone;4-t-pentylcyclohexanone;4-(tert-Pentyl)cyclohexanone;4-(TERT.-PENTYL)-CYCLOHEXANONE;CYCLOHEXANONE,4-tert-PENTYL;
CAS号 16587-71-6
合成路线:
1.通过4-叔戊基环己醇合成4-叔丁基环己酮

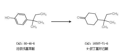
2.通过对叔戊基苯酚合成4-叔丁基环己酮

中华试剂网提醒 合成路线仅供参考