基本信息:
中文名称 2-溴-5-碘-3-己基噻吩
中文别名 2-溴-3-己基-5-碘噻吩;
英文名称 2-bromo-3-hexyl-5-iodothiophene
英文别名 2-Bromo-5-iodo-3-hexylthiophene;2-Bromo-3-hexyl-5-iodothiophene;2-bromo-5-iodohexylthiophene;2-bromo-3-n-hexyl-5-iodothiophene;2-Bromo-3-hexyl-5-iodo-thiophene;2-bromo-hexyl-5-iodothiophene;Thiophene,2-bromo-3-hexyl-5-iodo;
CAS号 160096-76-4
合成路线:
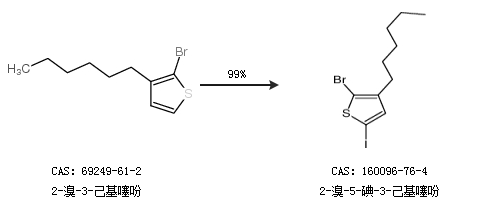
1.通过2-溴-3-己基噻吩合成2-溴-5-碘-3-己基噻吩,收率约99%;

2.通过3-己基噻吩合成2-溴-5-碘-3-己基噻吩

中华试剂网提醒 合成路线仅供参考