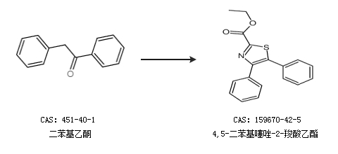
基本信息:
中文名称 4,5-二苯基噻唑-2-羧酸乙酯
英文名称 ethyl 4,5-diphenylthiazole-2-carboxylate
英文别名 ETHYL 4,5-DIMETHYL-2-FUROATE;ethyl 4,5-dimethylfuroate;ETHYL 4,5-DIMETHYL-2-FURANCARBOXYLATE;4,5-DIMETHYL-2-FUROIC ACID ETHYL ESTER;
CAS号 159670-42-5
合成路线:
1.通过硫代草氨酸乙酯和2-溴-2-苯基乙酰苯合成4,5-二苯基噻唑-2-羧酸乙酯,收率约39%;

2.通过二苯基乙酮合成4,5-二苯基噻唑-2-羧酸乙酯

中华试剂网提醒 合成路线仅供参考