基本信息:
中文名称 N-Boc-D-色氨醇
中文别名 N-BOC-D-色氨醇;(R)-[2-羟基-1-(1H-吲哚-3-基甲基)乙基]氨基甲酸叔丁酯;N-BOC-D-色氨醇;
英文名称 (R)-tert-Butyl (1-hydroxy-3-(1H-indol-3-yl)propan-2-yl)carbamate
英文别名 N-Boc-D-tryptophanol;tert-butyl N-[(2R)-1-hydroxy-3-(1H-indol-3-yl)propan-2-yl]carbamate;
CAS号 158932-00-4
合成路线:
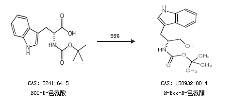
1.通过BOC-D-色氨酸合成N-Boc-D-色氨醇,收率约58%;

2.通过L-色氨酸甲酯合成N-Boc-D-色氨醇

中华试剂网提醒 合成路线仅供参考