你好,欢迎来到中华试剂网 购试剂 买耗材! [请登录][注册有惊喜]

货号快速下单 | 签到送积分   | 会员中心 | 客服热线:400-021-2765

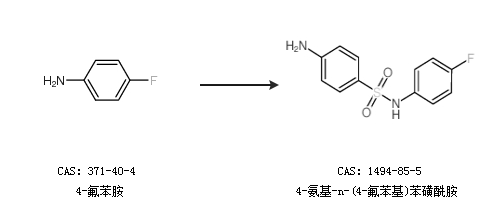
4-氨基-n-(4-氟苯基)苯磺酰胺的合成路线

提问时间:2021/4/26 8:22:01
4-氨基-n-(4-氟苯基)苯磺酰胺是什么,有什么方法可以合成?

1条回复:

匿名
2021/4/26 8:22:01
基本信息:
中文名称 4-氨基-n-(4-氟苯基)苯磺酰胺
英文名称 4-Amino-N-(4-fluorophenyl)benzenesulfonamide
英文别名 4''-Fluorosulfanilanilide;Sulfanilanilide,4''-fluoro;
CAS号 1494-85-5

合成路线:
1.通过4-氟苯胺合成4-氨基-n-(4-氟苯基)苯磺酰胺


2.通过对硝基苯磺酰氯合成4-氨基-n-(4-氟苯基)苯磺酰胺


中华试剂网提醒 合成路线仅供参考
回复