基本信息:
中文名称 ((1R,4r)-4-氨基环己基)甲醇
英文名称 trans 4-Aminocyclohexanemethanol
英文别名 ((1r,4r)-4-aminocyclohexyl)methanol;(trans-4-Aminocyclohexyl)methanol;trans-4-Hydroxymethylcyclohexylamin;trans-4-Aminocyclohexanemethanol;trans-4-Amino-cyclohexylcarbinol;
CAS号 1467-84-1
合成路线:
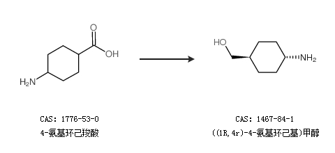
1.通过4-氨基环己羧酸合成((1R,4r)-4-氨基环己基)甲醇

中华试剂网提醒 合成路线仅供参考