你好,欢迎来到中华试剂网 购试剂 买耗材! [请登录][注册有惊喜]

货号快速下单 | 签到送积分   | 会员中心 | 客服热线:400-021-2765

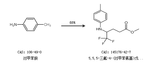
5,5,5-三氟-4-(对甲苯氨基)戊酸甲酯的合成路线

提问时间:2021/4/26 8:22:00
5,5,5-三氟-4-(对甲苯氨基)戊酸甲酯是什么,有什么方法可以合成?

1条回复:

匿名
2021/4/26 8:22:00
基本信息:
中文名称 5,5,5-三氟-4-(对甲苯氨基)戊酸甲酯
英文名称 methyl 5,5,5-trifluoro-4-(4-methylanilino)pentanoate
CAS号 145176-42-7

合成路线:
1.通过对甲苯胺合成5,5,5-三氟-4-(对甲苯氨基)戊酸甲酯,收率约68%;


中华试剂网提醒 合成路线仅供参考
回复