基本信息:
中文名称 2-氯-5-羟基甲基噻唑
英文名称 (2-Chloro-1,3-thiazol-5-yl)methanol
英文别名 (2-chloro-1,3-thiazol-5-yl)methanol;(2-Chlorothiazol-5-yl)methanol;
CAS号 145015-15-2
合成路线:
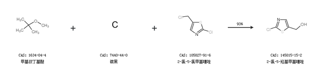
1.通过甲基叔丁基醚、碳黑和2-氯-5-氯甲基噻唑合成2-氯-5-羟基甲基噻唑,收率约93%;

2.通过2-氯-5-氯甲基噻唑合成2-氯-5-羟基甲基噻唑

中华试剂网提醒 合成路线仅供参考