基本信息:
中文名称 4-(2,5-二氧代四氢呋喃-3-基)-1,2,3,4-四氢萘-1,2-二甲酸酐
中文别名 四氢化萘二酐;4-(2,5-二氧四氢呋喃-3-基)-1,2,3,4-四氢化萘-1,2-二酸酐;4-(2,5-二氧四氢呋喃)-1,2,3,4-四氢-1,2-二酐甲酸酐;
英文名称 4-(2,5-Dioxotetrahydrofuran-3-yl)-Tetralin-1,2-Dicarboxylic Anhydride
英文别名 5-(2,5-dioxooxolan-3-yl)-3a,4,5,9b-tetrahydrobenzo[e][2]benzofuran-1,3-dione;4-(2,5-DIOXOTETRAHYDROFURAN-3-YL)-1,2,3,4-TETRAHYDRONAPHTHALENE-1,2-DICARBOXYLIC ANHYDRIDE;4-(2,5-Dioxotetrahydrofuran-3-yl)-tetralin-1,2-dicarboxylic Anhydride;
CAS号 13912-65-7
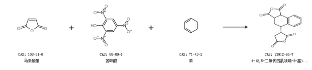
合成路线:
1.通过马来酸酐合成4-(2,5-二氧代四氢呋喃-3-基)-1,2,3,4-四氢萘-1,2-二甲酸酐

2.通过马来酸酐、苦味酸和苯合成4-(2,5-二氧代四氢呋喃-3-基)-1,2,3,4-四氢萘-1,2-二甲酸酐

中华试剂网提醒 合成路线仅供参考