基本信息:
中文名称 伊班膦酸钠
中文别名 鲁米昔布;埃本膦酸钠盐一水化物;1-羟基-3-(甲基戊基胺)-丙烷-1,1-双膦酸钠(伊班膦酸钠);
英文名称 Ibandronate Sodium Monohydrate
英文别名 sodium,hydroxy-[1-hydroxy-3-[methyl(pentyl)amino]-1-phosphonopropyl]phosphinate,hydrate;(1-?Hydroxy-?3-?(methylpentylamino)?propylidene)?bisphosphonic acid sodium;
CAS号 138926-19-9
合成路线:
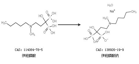
1.通过伊班膦酸合成伊班膦酸钠

2.通过氢氧化钠和伊班膦酸合成伊班膦酸钠

中华试剂网提醒 合成路线仅供参考