你好,欢迎来到中华试剂网 购试剂 买耗材! [请登录][注册有惊喜]

货号快速下单 | 签到送积分   | 会员中心 | 客服热线:400-021-2765

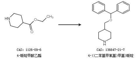
4-((二苯基甲氧基)甲基)哌啶的合成路线

提问时间:2021/4/26 8:22:00
4-((二苯基甲氧基)甲基)哌啶是什么,有什么方法可以合成?

1条回复:

匿名
2021/4/26 8:22:00
基本信息:
中文名称 4-((二苯基甲氧基)甲基)哌啶
中文别名 4-[(二苯基甲氧基)甲基]哌啶;
英文名称 4-(benzhydryloxymethyl)piperidine
CAS号 136647-21-7

合成路线:
1.通过4-哌啶甲酸乙酯合成4-((二苯基甲氧基)甲基)哌啶


2.通过4-羟甲基哌啶和二苯甲醇合成4-((二苯基甲氧基)甲基)哌啶


中华试剂网提醒 合成路线仅供参考
回复