你好,欢迎来到中华试剂网 购试剂 买耗材! [请登录][注册有惊喜]

货号快速下单 | 签到送积分   | 会员中心 | 客服热线:400-021-2765

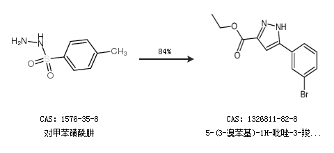
5-(3-溴苯基)-1H-吡唑-3-羧酸乙酯的合成路线

提问时间:2021/4/26 8:22:00
5-(3-溴苯基)-1H-吡唑-3-羧酸乙酯是什么,有什么方法可以合成?

1条回复:

匿名
2021/4/26 8:22:00
基本信息:
中文名称 5-(3-溴苯基)-1H-吡唑-3-羧酸乙酯
英文名称 Ethyl 3-(3-bromophenyl)-1H-pyrazole-5-carboxylate
英文别名 Ethyl 5-(3-bromophenyl)-1H-pyrazole-3-carboxylate;C-2209;
CAS号 1326811-82-8

合成路线:
1.通过对甲苯磺酰肼合成5-(3-溴苯基)-1H-吡唑-3-羧酸乙酯,收率约84%;


中华试剂网提醒 合成路线仅供参考
回复