你好,欢迎来到中华试剂网 购试剂 买耗材! [请登录][注册有惊喜]

货号快速下单 | 签到送积分   | 会员中心 | 客服热线:400-021-2765

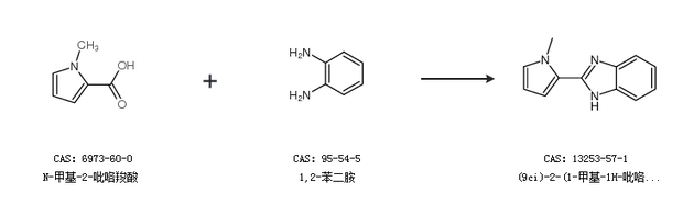
(9ci)-2-(1-甲基-1H-吡咯-2-基)-1H-苯并咪唑的合成路线

提问时间:2021/4/26 8:22:00
(9ci)-2-(1-甲基-1H-吡咯-2-基)-1H-苯并咪唑是什么,有什么方法可以合成?

1条回复:

匿名
2021/4/26 8:22:00
基本信息:
中文名称 (9ci)-2-(1-甲基-1H-吡咯-2-基)-1H-苯并咪唑
英文名称 2-(1-Methyl-1H-pyrrol-2-yl)-1H-benzimidazole
CAS号 13253-57-1

合成路线:
1.通过1,2-苯二胺合成(9ci)-2-(1-甲基-1H-吡咯-2-基)-1H-苯并咪唑,收率约71%;


2.通过N-甲基-2-吡咯羧酸和1,2-苯二胺合成(9ci)-2-(1-甲基-1H-吡咯-2-基)-1H-苯并咪唑


中华试剂网提醒 合成路线仅供参考
回复