基本信息:
中文名称 1,3-二溴-5-(1,1-二甲基乙基)苯
中文别名 3,5-二溴叔丁基苯;1,3-二溴-5-叔丁基-苯;
英文名称 1,3-Dibromo-5-tert-butylbenzene
英文别名 1,3-Br2-5-tBuC6H3;3,5-dibromo-t-butylbenzene;3,5-dibromo-1-tert-butylbenzene;5-tert-butyl-1,3-dibromobenzene;1,3-Dibromo-5-t-butylbenzene;1,3-dibromo-5-(tert-butyl)benzene;
CAS号 129316-09-2
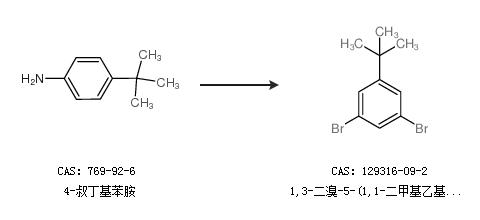
合成路线:
1.通过2,6-二溴-4-叔丁基苯胺合成1,3-二溴-5-(1,1-二甲基乙基)苯,收率约77%;

2.通过4-叔丁基苯胺合成1,3-二溴-5-(1,1-二甲基乙基)苯

中华试剂网提醒 合成路线仅供参考