你好,欢迎来到中华试剂网 购试剂 买耗材! [请登录][注册有惊喜]

货号快速下单 | 签到送积分   | 会员中心 | 客服热线:400-021-2765

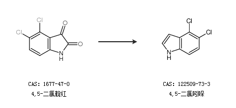
4,5-二氯吲哚的合成路线

提问时间:2021/4/26 8:21:59
4,5-二氯吲哚是什么,有什么方法可以合成?

1条回复:

匿名
2021/4/26 8:21:59
基本信息:
中文名称 4,5-二氯吲哚
英文名称 4,5-Dichloro-1H-indole
英文别名 1H-Indole,4,5-dichloro;QC-9707;4,5-dichloroindole;
CAS号 122509-73-3

合成路线:
1.通过4,5-二氯靛红合成4,5-二氯吲哚


中华试剂网提醒 合成路线仅供参考
回复