基本信息:
中文名称 6-氯-5-氟吲哚
中文别名 5-氟-6-氯吲哚;
英文名称 6-Chloro-5-fluoroindole
英文别名 6-Chloro-5-Fluoroindole;6-chloro-5-fluoro-1H-indole;6-Chloro-5-fluoro-1H-indole;
CAS号 122509-72-2
合成路线:
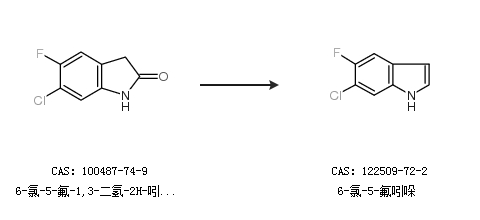
1.通过6-氯-5-氟-1,3-二氢-2H-吲哚-2-酮合成6-氯-5-氟吲哚

2.通过N,N-二甲基甲酰胺二甲基缩醛和4-氯-5-氟-2-硝基甲苯合成6-氯-5-氟吲哚

中华试剂网提醒 合成路线仅供参考