基本信息:
中文名称 (2R)-6-氟-3,4-二氢-4-氧代-2H-1-苯并吡喃-2-甲酸
中文别名 (2R)-6-氟-3.4-二氢-4-氧代-2H-1-苯并吡喃-2-甲酸;
英文名称 (2R)-6-fluoro-4-oxo-2,3-dihydrochromene-2-carboxylic acid
CAS号 118803-70-6
合成路线:
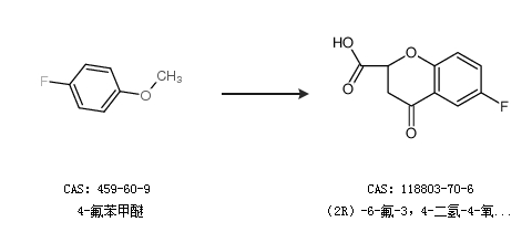
1.通过4-氟苯甲醚合成(2R)-6-氟-3,4-二氢-4-氧代-2H-1-苯并吡喃-2-甲酸

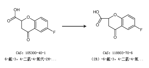
2.通过6-氟-3,4-二氢-4-氧代-2H-1-苯并吡喃-2-甲酸合成(2R)-6-氟-3,4-二氢-4-氧代-2H-1-苯并吡喃-2-甲酸

中华试剂网提醒 合成路线仅供参考