基本信息:
中文名称 6-(4,4,5,5-四甲基-1,3,2-二氧杂环己硼烷-2-基)-3-氨基-1H-吲唑
英文名称 6-(4,4,5,5-tetramethyl-1,3,2-dioxaborolan-2-yl)-1H-indazol-3-amine
CAS号 1187968-75-7
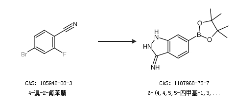
合成路线:
1.通过3-氨基-6-溴-1H-吲唑和联硼酸频那醇酯合成6-(4,4,5,5-四甲基-1,3,2-二氧杂环己硼烷-2-基)-3-氨基-1H-吲唑

2.通过4-溴-2-氟苯腈合成6-(4,4,5,5-四甲基-1,3,2-二氧杂环己硼烷-2-基)-3-氨基-1H-吲唑

中华试剂网提醒 合成路线仅供参考