基本信息:
中文名称 4-氯代苯酐
中文别名 4-氯邻苯二甲酸酐;4-氯苯酐;
英文名称 4-Chlorophthalic Anhydride
英文别名 4-Chlorophthalic anhydride;5-chloro-2-benzofuran-1,3-dione;5-Chloroisobenzofuran-1,3-dione;
CAS号 118-45-6
合成路线:
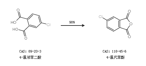
1.通过4-氯邻苯二酸合成4-氯代苯酐,收率约98%;

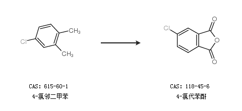
2.通过4-氯邻二甲苯合成4-氯代苯酐

中华试剂网提醒 合成路线仅供参考