你好,欢迎来到中华试剂网 购试剂 买耗材! [请登录][注册有惊喜]

货号快速下单 | 签到送积分   | 会员中心 | 客服热线:400-021-2765

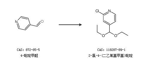
2-氯-4-(二乙氧基甲基)吡啶的合成路线

提问时间:2021/4/26 8:21:59
2-氯-4-(二乙氧基甲基)吡啶是什么,有什么方法可以合成?

1条回复:

匿名
2021/4/26 8:21:59
基本信息:
中文名称 2-氯-4-(二乙氧基甲基)吡啶
英文名称 2-chloro-4-(diethoxymethyl)pyridine
英文别名 2-chloro-4-diethoxymethylpyridine;
CAS号 118287-89-1

合成路线:
1.通过4-吡啶甲醛合成2-氯-4-(二乙氧基甲基)吡啶


2.通过2-氯异烟酸甲酯和乙醇合成2-氯-4-(二乙氧基甲基)吡啶


中华试剂网提醒 合成路线仅供参考
回复