你好,欢迎来到中华试剂网 购试剂 买耗材! [请登录][注册有惊喜]

货号快速下单 | 签到送积分   | 会员中心 | 客服热线:400-021-2765

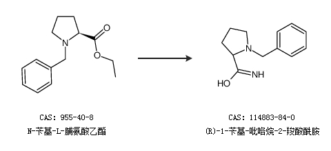
(R)-1-苄基-吡咯烷-2-羧酸酰胺的合成路线

提问时间:2021/4/26 8:21:58
(R)-1-苄基-吡咯烷-2-羧酸酰胺是什么,有什么方法可以合成?

1条回复:

匿名
2021/4/26 8:21:58
基本信息:
中文名称 (R)-1-苄基-吡咯烷-2-羧酸酰胺
英文名称 (2R)-1-benzylpyrrolidine-2-carboxamide
CAS号 114883-84-0

合成路线:
1.通过N-苄基-L-脯氨酸乙酯合成(R)-1-苄基-吡咯烷-2-羧酸酰胺


中华试剂网提醒 合成路线仅供参考
回复