基本信息:
中文名称 2-氨基-5-氯吡啶
中文别名 2-氨基-5-氯-吡啶;3-氨基-6-氯吡啶;5-氯-2-吡啶胺;2-氨基-5-氯砒啶;
英文名称 2-Amino-5-chloropyridine
英文别名 2-AMINO-5-CHLIROPYRIDINE;2-Amino-5-Chloro Pyriine;5-CHLORO-A-PYRIDYLAMINE;6-chloropyridin-2-ylamine;2-Amino-5-Chloropyridine;5-CHLORO-2-PYRIDYLAMINE;2-amino-5-chloro-pyridine;5-CHLORO-2-AMINOPYRIDINE;5-CHLOROPYRIDIN-2-AMINE;5-chloropyridin-2-ylamine;5-CHLORO-2-PYRIDINAMINE;
CAS号 1072-98-6
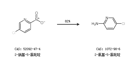
合成路线:
1.通过2-氨基吡啶合成2-氨基-5-氯吡啶,收率约91%;

2.通过2-硝基-5-氯吡啶合成2-氨基-5-氯吡啶,收率约82%;

中华试剂网提醒 合成路线仅供参考