基本信息:
中文名称 (2S,3R)-N-苄氧羰基-2,3-二苯基吗啉-6-酮
中文别名 苄基 (2S,3R)-(+)-6-氧代-2,3-二苯基-4-吗啉甲酸酯;(2S,3R)-(+)-N-苄氧羰基-6-羰基-2,3-二苯基吗啉;2S,3R-N-CBZ-2,3-二苯基吗啉-6-酮;(2S,3R)-2,3-二苯基-6-氧代吗啉-4-甲酸苄酯;
英文名称 (2S,3R)-Benzyl 6-oxo-2,3-diphenylmorpholine-4-carboxylate
英文别名 benzyl (2S,3R)-6-oxo-2,3-diphenylmorpholine-4-carboxylate;(2S,3R)-(+)-N-Z-6-oxo-2,3-diphenylmorpholine;Benzyl (2S,3R)-(+)-6-oxo-2,3-diphenyl-4-morpholinecarboxylate;
CAS号 105228-46-4
合成路线:
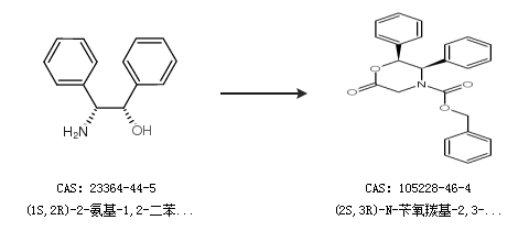
1.通过(1S,2R)-2-氨基-1,2-二苯基乙醇合成(2S,3R)-N-苄氧羰基-2,3-二苯基吗啉-6-酮

2.通过2-((1R,2S)-2-羟基-1,2-二苯基乙基氨基)乙酸乙酯合成(2S,3R)-N-苄氧羰基-2,3-二苯基吗啉-6-酮

中华试剂网提醒 合成路线仅供参考