基本信息:
中文名称 1-N-叔丁氧羰基哌啶-4-硼酸频哪醇酯
中文别名 4-(4,4,5,5-四甲基-1,3,2-二噁硼烷-2-基)哌啶-1-羧酸叔丁酯;
英文名称 tert-Butyl 4-(4,4,5,5-tetramethyl-1,3,2-dioxaborolan-2-yl)piperidine-1-carboxylate
英文别名 tert-butyl 4-(4,4,5,5-tetramethyl-1,3,2-dioxaborolan-2-yl)piperidine-1-carboxylate;
CAS号 1048970-17-7
合成路线:
1.通过1,2,3,6-四氢吡啶-4-硼酸频那醇酯合成1-N-叔丁氧羰基哌啶-4-硼酸频哪醇酯,收率约99%;

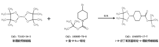
2.通过联硼酸频那醇酯和4-溴-N-Boc-哌啶合成1-N-叔丁氧羰基哌啶-4-硼酸频哪醇酯,收率约61%;

中华试剂网提醒 合成路线仅供参考